26.02.13

5.10.7

Задача 5.10.7 (умова)



  
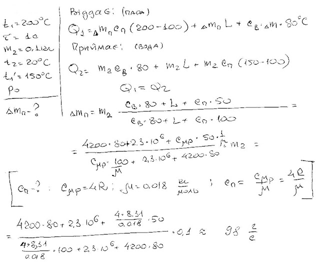
5.10.7 (вказівки до розв'язку)










Немає коментарів:

Дописати коментар

Related Posts Plugin for WordPress, Blogger...