09.03.13

4.5.6

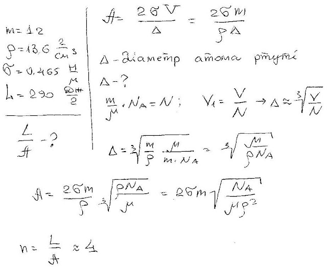
Задача 4.5.6 (умова)





  4.5.6-а (вказівки до розв'язку)   


  4.5.6 (вказівки до розв'язку)   




Немає коментарів:

Дописати коментар

Related Posts Plugin for WordPress, Blogger...