02.04.13

6.1.8

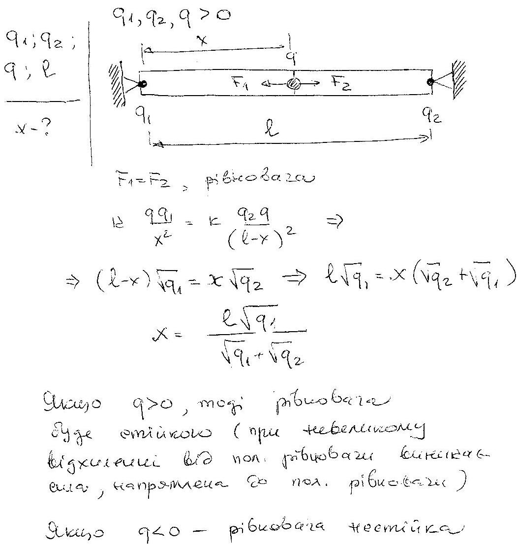
Задача 6.1.8 (умова)





   6.1.8 (вказівки до розв'язку)











Немає коментарів:

Дописати коментар

Related Posts Plugin for WordPress, Blogger...